中序遍历二叉树(两种实现方案,新手必读)

中序遍历二叉树指的是从根结点出发,按照以下步骤访问二叉树中的每个结点:

  1. 先进入当前结点的左子树,以同样的步骤遍历左子树中的结点;
  2. 访问当前结点;
  3. 最后进入当前结点的右子树,以同样的步骤遍历右子树中的结点。

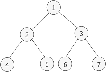
举个简单的例子,下图是一棵二叉树:

二叉树

图 1 二叉树

中序遍历这棵二叉树的过程是:

进入结点 1 的左子树,访问左子树中的结点; 进入结点 2 的左子树,访问左子树中的结点; 试图进入结点 4 的左子树,但该结点没有左子树; 访问结点 4; 试图进入结点 4 的右子树,但该结点没有右子树; 访问结点 2; 进入结点 2 的右子树,访问右子树中的结点; 试图进入结点 5 的左子树,但该结点没有左子树; 访问结点 5; 试图进入结点 5 的右子树,但该结点没有右子树; 访问结点 1; 进入结点 1 的右子树,访问右子树中的结点; 进入结点 3 的左子树,访问左子树中的结点; 试图进入结点 6 的左子树,但该结点没有左子树; 访问结点 6; 试图进入结点 6 的右子树,但该结点没有右子树; 访问结点 3; 进入结点 3 的右子树,访问右子树中的结点; 试图进入结点 7 的左子树,但该结点没有左子树; 访问结点 7; 试图进入结点 7 的右子树,但该结点没有右子树;

最终,中序遍历图 1 中的二叉树,访问各个结点的顺序是:

4 2 5 1 6 3 7

递归中序遍历二叉树

对于顺序表存储的二叉树,递归实现中序遍历的 C 语言程序为:

void INOrderTraverse(BiTree T, int p) { //递归遍历左子树 if (((2 * p + 1) < NODENUM) && (T[2 * p + 1] != 0)) { INOrderTraverse(T, 2 * p + 1); } //访问当前结点 printf("%d ", T[p]); //递归遍历右子树 if (((2 * p + 2) < NODENUM) && (T[2 * p + 2] != 0)){ INOrderTraverse(T, 2 * p + 2); } }

对于链表存储的二叉树,递归实现中序遍历的 C 语言程序为:

void INOrderTraverse(BiTree T) { if (T) { INOrderTraverse(T->lchild);//遍历当前结点的左子树 printf("%d ",T->data); //访问当前结点 INOrderTraverse(T->rchild);//遍历当前结点的右子树 } }

非递归中序遍历二叉树

递归的底层实现借助的是存储结构,因此我们可以自己模拟出一个栈结构,以非递归的方式实现二叉树的中序遍历。

非递归中序遍历一棵树二叉树,具体有两种实现方案:

  • 方案一:从根结点开始,不断地遍历当前结点的左子树并将该结点压入栈中,直至不再有左子树。然后从栈顶取出一个结点并访问它,然后将它的右孩子压入栈中,继续以同样的方式遍历它的右子树;
  • 方案二:和方案一唯一的不同之处在于,压入栈中的只会是每个结点的左孩子,右孩子不需要入栈。

对于顺序表存储的二叉树,以上两种方案对应的 C 语言程序分别是:

//全局变量,记录栈顶的位置 int top = -1; //前序遍历使用的入栈函数 void push(BiTree a, int elem) { a[++top] = elem; } //弹栈函数 void pop() { if (top == -1) { return; } top--; } //拿到栈顶元素 int getTop(BiTree a) { return a[top]; } //方案1 void InOrderTraverse1(BiTree Tree) { //模拟栈,记录入栈结点所在顺序表中的下标 int ad[NODENUM] = { 0 }; int p; push(ad, 0);//根节点的数组下标入栈 //直至栈为空,中序遍历才结束 while (top != -1) { //不断的将各个结点的左孩子入栈 while ((p = getTop(ad)) < NODENUM) { if (Tree[p] == 0) { break; } push(ad, 2 * p + 1); } pop();//栈顶的下标肯定超出了 NODENUM 指定范围,直接弹出 //不再有左子树之后,访问当前结点,并将其右子树入栈 if (top != -1) { p = getTop(ad); pop(); printf("%d ", Tree[p]); push(ad, p * 2 + 2); } } } //方案2 void InOrderTraverse2(BiTree Tree) { //模拟栈,记录入栈结点所在顺序表中的下标 int ad[NODENUM] = { 0 }; int p = 0; while (p < NODENUM || top != -1) { //将每个结点的左孩子入栈 if (p < NODENUM && Tree[p] != 0) { push(ad, p); p = p * 2 + 1; } else { //如果栈空,则中序遍历结束 if (top == -1) { break; } //访问该结点,并将其右孩子的下标赋值给 p,继续遍历右子树 p = getTop(ad); pop(); printf("%d ", Tree[p]); p = p * 2 + 2; } } }

对于链表存储的二叉树,以上两种方案对应的 C 语言程序分别是:

//全局变量,表示栈顶 int top = -1; //前序和中序遍历使用的进栈函数 void push(BiTNode** a, BiTNode* elem) { a[++top] = elem; } //弹栈函数 void pop() { if (top == -1) { return; } top--; } //查看栈顶元素 BiTNode* getTop(BiTNode** a) { return a[top]; } //方案1 void InOrderTraverse1(BiTree Tree) { BiTNode* a[20];//定义一个顺序栈 BiTNode* p;//临时指针 push(a, Tree);//根结点进栈 while (top != -1) {//top!=-1说明栈内不为空,程序继续运行 while ((p = getTop(a)) && p) {//取栈顶元素,且不能为NULL push(a, p->lchild);//将该结点的左孩子进栈,如果没有左孩子,NULL进栈 } pop();//跳出循环,栈顶元素肯定为NULL,将NULL弹栈 if (top != -1) { p = getTop(a);//取栈顶元素 pop();//栈顶元素弹栈 printf("%d ", p->data); push(a, p->rchild);//将p指向的结点的右孩子进栈 } } } //方案2 void InOrderTraverse2(BiTree Tree) { BiTNode* a[20];//定义一个顺序栈 BiTNode* p;//临时指针 p = Tree; //当p为NULL或者栈为空时,表明树遍历完成 while (p || top != -1) { //如果p不为NULL,将其压栈并遍历其左子树 if (p) { push(a, p); p = p->lchild; } //如果p==NULL,表明左子树遍历完成,需要遍历上一层结点的右子树 else { p = getTop(a); pop(); printf("%d ", p->data); p = p->rchild; } } }

本节给出的都是实现中序遍历的 C 语言关键代码,对于中序遍历顺序表中存储的完全二叉树,可以结合《二叉树的顺序存储结构》一节给出的完整程序;对于中序遍历链表中存储的二叉树,可以结合《二叉树的链式存储结构》一节中给出的完整程序。也可以猛击这里下载完全源码。

本文是转载文章,点击查看原文
如有侵权,请联系 lx@jishuguiji.net 删除。